2,4-二氯

結構式
| 物競編號 | 029p |
|---|---|
| 分子式 | c7h6cl2 |
| 分子量 | 161 |
| 標簽 |
2,4-二氯-1-甲基, 2,4-二氯(二氯), 2,4-二氯-1-, 2,4-dichloro-1-methylbenzene, 2,4-dichloromethylbenzene, 芳香族鹵素衍生物 |
編號系統
cas號:95-73-8
mdl號:mfcd00000583
einecs號:202-445-8
rtecs號:xt0730000
brn號:1931691
pubchem號:24848696
物性數據
1.性狀:無色透明液體,有刺激性氣味。[1]
2.熔點(℃):-13.5[2]
3.沸點(℃):200[3]
4.相對密度(水=1):1.25[4]
5.臨界壓力(mpa):3.59[5]
6.辛醇/水分配系數:4.24[6]
7.閃點(℃):79.44[7]
8.引燃溫度(℃):>500[8]
9.爆炸上限(%):4.5[9]
10.爆炸下限(%):1.9[10]
11.溶解性:不溶于水,可混溶于乙醇、、。[11]
毒理學數據
1、急性毒性:大鼠經口ld50:3249mg/kg;小鼠經口ld50:2400mg/kg;豚鼠經口ld50:5mg/kg;
2、其他多劑量毒性:大鼠經口tdlo:6440mg/kg/2w-i;大鼠經口tdlo:28980mg/ kg/9w-i;
3.急性毒性[12] ld50:2400mg/kg(大鼠經口);2900mg/kg(小鼠經口)
4.刺激性 暫無資料
生態學數據
1.生態毒性[13] lc50:4.6mg/l(7d)(魚)
2.生物降解性 暫無資料
3.非生物降解性[14] 空氣中,當羥基自由基濃度為5.00×105個/cm3時,降解半衰期為12d(理論)。
4.生物富集性[15] bcf:1000(理論)
分子結構數據
1、摩爾折射率:40.86
2、摩爾體積(cm3/mol):129.6
3、等張比容(90.2k):316.6
4、表面張力(dyne/cm):35.6
5、極化率:16.20
計算化學數據
1.疏水參數計算參考值(xlogp):無
2.氫鍵供體數量:0
3.氫鍵受體數量:0
4.可旋轉化學鍵數量:0
5.互變異構體數量:無
6.拓撲分子極性表面積0
7.重原子數量:9
8.表面電荷:0
9.復雜度:92.9
10.同位素原子數量:0
11.確定原子立構中心數量:0
12.不確定原子立構中心數量:0
13.確定化學鍵立構中心數量:0
14.不確定化學鍵立構中心數量:0
15.共價鍵單元數量:1
性質與穩定性
1.穩定性[16] 穩定
2.禁配物[17] 強氧化劑
3.避免接觸的條件[18] 受熱
4.聚合危害[19] 不聚合
5.分解產物[20] 氯化氫
貯存方法
1.儲存注意事項[21] 儲存于陰涼、通風的庫房。遠離火種、熱源。保持容器密封。應與氧化劑、食用化學品分開存放,切忌混儲。配備相應品種和數量的消防器材。儲區應備有泄漏應急處理設備和合適的收容材料。
2.本品遇明火燃燒,應貯于陰涼通風處,遠離火源,熱源,與氧化劑分開存放,與食品,飼料,種子分開存放,注意保持包裝完整。按易燃物品規定貯運。
合成方法
生產方法:其制備方法有以下幾種。
①對氯法
將對氯和催化劑zrcl4放入反應器,通氯氣進行氯化反應,控制通氯氣的量至反應結束,停止反應,得到的反應物含有2,4-二氯85.1%,如果以fecl3為催化劑在10~15℃進行氯化反應到溶液相對密度為1.025,生成物中有2,4-二氯和3,4-二氯,兩組分質量比為100∶30。氯化完畢后用水洗至中性,并用10%naoh溶液在100~110℃下處理以除去其他雜物,經處理后的氯化物在高效精餾塔進行精餾分離(2,4-二氯b.p.200℃,3,4-二氯b.p.207℃)。2,4-二氯和3,4-二氯的收率分別為64.4%和1 9.8%。

②鄰氯法
鄰氯以氯化硫酰為氯化劑在142~196℃下進行氯化反應,生成物有2,4-二氯和2,3-二氯,還有未反應的原料,其組成分別為55%、6%、39%。經過蒸餾(2,4-二氯b.p.200℃,2,3-二氯b.p.207~208℃,鄰氯b.p.157~159℃)分離得到2,4-二氯。
③鄰硝基法
鄰硝基在fecl3催化劑存在下于35~40℃進行氯化反應,當反應物相對密度達1.320(15℃),將物料洗至中性,反應物中有原料15%、2-氯-6-硝基49%、4-氯-2-硝基21%,還有15%多氯化物,經過精餾及結晶處理,得到2-氯-6-硝基和4-氯-2-硝基,收率分別為50%和30%以上,4-氯-2-硝基經加氫還原反應、水蒸氣蒸餾得4-氯-2-氨基,再進行重氮化和加入ch2cl2進行sandmeyer反應而得到2,4-二氯。該方法用于生產2-氯-6-硝基(用于除草劑二氯喹啉酸中間體)的副產4-氯-2-硝基。
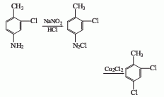
④2,4-二氨基法
2,4-二氨基在nano2和鹽酸存在下進行重氮化反應,然后在cu2cl2存在下進行sandmeyer反應而得到2,4-二氯。
⑤3-氯-4-甲基胺法
3-氯-4-甲基胺和鹽酸加到反應釜中,在3~5℃滴加nano2水溶液,在2~3h內滴加完,進行重氮化反應,然后將重氮化液在2~5℃滴加入含有cu2cl2的鹽酸溶液進行sandmeyer反應,得到2,4-二氯。

以上幾種方法中,采用對氯和鄰氯為原料生成的氯化物中雜質多,且沸點相近,要采用高效精餾塔分餾,才能得到98%以上的2,4-二氯。這兩種方法操作難度大,設備投資費用大。2,4-二氨基法不適宜工業化,而鄰硝基法和3-氯-4-甲基胺法制備2,4-二氯基本原理相同,都是要通過重氮化和sandmeyer反應的,存在廢水較多的缺點。鄰硝基法聯產2-氯-6-硝基,進一步還原得到2-氯-6-氨基,是生產除草劑二氯喹啉酸的重要中間體。
用途
1.農藥中間體,用于制造2,4-二氯芐基氯、2,4-二氯甲酰氯。在醫藥工業用于制造抗瘧藥阿的平。
2.用作溶劑,用于制藥及有機合成。[22]
擴展閱讀https://www.morpholine.org/catalyst-1028/擴展閱讀https://www.cyclohexylamine.net/dabco-tl-low-odor-strong-foaming-tertiary-amine-catalyst/擴展閱讀https://www.bdmaee.net/dioctyl-dimaleate-di-n-octyl-tin/擴展閱讀https://www.bdmaee.net/dabco-33-lsi-dabco-33lsi/擴展閱讀https://www.newtopchem.com/archives/690擴展閱讀https://www.bdmaee.net/wp-content/uploads/2022/08/fascat4100-catalyst-monobutyl-tin-oxide-fascat-4100.pdf擴展閱讀https://www.bdmaee.net/wp-content/uploads/2022/08/33-5.jpg擴展閱讀https://www.newtopchem.com/archives/40475擴展閱讀https://www.bdmaee.net/fascat4201-catalyst-cas-818-08-6-dibutyl-tin-oxide/擴展閱讀https://www.bdmaee.net/wp-content/uploads/2022/08/37-2.jpg

